
Née
à Moscou d'une famille de l'aristocratie russe, de son nom de jeune fille
Corvin-Kroukowsky, elle est également
connue sous le nom de Sofia Kovalevsky (ou encore (Kowalewska, Kowalewski, Kowalewskaïa,
...).
Élève de Hermann
L.von Helmholtz
à Heidelberg
et de Weierstrass
à Göttingen
(à titre particulier car l'inscription aux universités
lui était refusée), elle fut aussi romancière.
Parlant de sa jeunesse (Souvenirs d'enfance, 1899), elle écrivait avoir été initiée à la beauté des mathématiques par les feuillets mathématiques d'Ostrogradski dont son père, général d'artillerie, avait orné sa chambre en guise de papier peint, suite à une rencontre avec ce mathématicien russe...
Sofia Kovalevskaïa reprit des travaux de Cauchy relative aux équations aux dérivées partielles et travailla sur les intégrales abéliennes (généralisation des intégrales elliptiques). Elle obtint son doctorat à Göttingen (1874) et une chaire d'analyse à l’université de Stockholm (1884) grâce à l’intervention du mathématicien suédois Mittag-Leffler, autre élève de Weierstrass.
Son étude novatrice, en mécanique, Sur le problème de la rotation dun corps autour dun point fixe (problème ardu étudié auparavant par Euler, Lagrange et Jacobi) lui valut le prix de l'Académie des sciences de Paris (1888). Sofia Kovalevskaïa mourut prématurément d'une pleurésie à 41 ans.
| Théorème de Cauchy-Kovalevskaïa : |
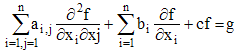
Le théorème ci-dessous fournit une solution au "problème de Cauchy" dans le cas suivant :
f et g désignant des fonctions numériques de n variables réelles, g est donnée. Soit (e) l'équation aux dérivées partielles du type :

sous les conditions :
an,n non nul;
f(x1,x2, ...xn-1,0) = u(x1,x2, ...xn-1) et ∂f/∂xn(x1,x2, ...xn-1,0) = v(x1,x2, ...xn-1) (u et v données)
g analytique de classe Cn au voisinage de 0
u et v analytiques de classe Cn-1 au voisinage de 0
Alors, il existe une unique solution analytique f de classe Cn vérifiant (e).
Autres
femmes
mathématiciennes citées dans Chronomath
Hypatie ,
Maria Agnesi
, Sophie Germain , Ada Byron
,
Alicia Boole-Stott ,
Emmy Noether
Marie-Louise Dubreil-Jacotin ,
Jacqueline Ferrand , Maryam
Mirzakhani , Claire Voisin
, Karen Uhlenbeck
➔ Pour en savoir plus :