
|
|
Voici, en rose ci-dessous, la représentation graphique (C) de la fonction f définie, pour tout x distinct de 1, par :


1°/
Au vu du graphique et en admettant provisoirement que f
', fonction dérivée de f,
s'annule en deux valeurs entières de x, compléter :
f
'(.....) =
f
'(.....) = 0.
2°/ Au vu du graphique, l'équation f(x) = 8 semble avoir deux solutions α et β dont l'une est entière. On suppose α effectivement entière, compléter : α = .....
3°/ Au vu du graphique, la courbe (C) semble admettre deux asymptotes d1 et d2. On admet ce résultat. Quelles semblent être les équations de ces asymptotes ? Compléter :
d1 : ......... = ........... , d2 : ......... = ........... , A(0,....) ∈d2
4°/
Calculer la fonction
f
', dérivée de f,
et justifier que
f
'(x) s'annule en
x = 0, et x = 3 en conservant le signe de (x - 1)(x - 3). Dresser le tableau de
variation de f.

a) Écrire g(x) sous la forme P(x)/(x - 1)2 où P(x) est un polynôme du 3è degré que l'on ordonnera suivant les puissances décroissantes de x.
b) Calculer les valeurs de a, b, c et d afin d'avoir f(x) = g(x) pour tout x distinct de 1. En déduire que la courbe (C) admet une asymptote oblique d'équation d2 : y = ............. (compléter).
6°/ Compléter : puisque d2 est asymptote à (C), les nombres f(x) et ........... ont même limite pour x infini. On en déduit :

7°/ Compléter : lorsque x tend vers 1 par valeurs inférieures ou
....................., x3 tend vers ....... et
(x - 1)2 tend vers ....+ car un
carré est toujours positif. On en déduit :

La droite d'équation .........= ........ est donc une asymptote ..................... (compléter) à la courbe (C).
8°/ Vérifier que la courbe (C) coupe son asymptote oblique au point d'abscisse x = 2/3. On a représenté, à droite, un agrandissement du graphique contenant l'intervalle d'étude [-2, 2/3]. En utilisant l'écriture de f(x) établie en 5°, on demande de calculer (en unités d'aires) l'aire comprise entre (C) et son asymptote oblique d2.
Vérifier graphiquement la vraisemblance de votre résultat.
Si vous séchez après avoir bien cherché : ››››
| Indications & réponses : |
1°/
Au vu du graphique et en admettant que
f
' s'annule en
des valeurs entières de x, on a
f
'(0) =
f
'(3) = 0.
2°/ Au vu du graphique, l'équation f(x) = 8 semble avoir α = 2 comme solution entière.
3°/ Au vu du graphique, la courbe (C) semble admettre deux asymptotes d1 et d2 :
d1 : x = 1 , d2 : y = x + 2 , A(0,2) ∈d2

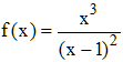
4°/ On trouvera sans difficultés, pour tout x distinct de 1 :

f
'(x) s'annule
donc en x = 0 sans changer de signe (solution double) et en x = 3 en conservant
le signe de (x - 1)(x - 3) car (x - 1)3
est du signe de x - 1.

Tableau de variation de f complété par les limites
calculées en 6° et 7°

a) En réduisant au même dénominateur (x - 1)2, on obtient la forme demandée de g(x) :

b) En identifiant le numérateur à x3, nous devons avoir a - 2 = 0, donc a = 2; 1 + b - 2a = 0, donc b = 3; a - b + c = 0, donc c = 1. Finalement :

Cette forme prouve que lorsque x tend vers l'infini, positif ou négatif, f(x) - (x + 2) tend vers 0. La courbe (C) admet donc une asymptote oblique d'équation d2 : y = x + 2.
6°/ Puisque d2 est asymptote à (C), les nombres f(x) et x + 2 ont même limite pour x infini. On en déduit :

7°/ Lorsque x tend vers 1 par valeurs inférieures ou supérieures, x3 tend vers 1 et (x - 1)2 tend vers 0+ car un carré est toujours positif. On en déduit :

La droite d'équation x = 1 est donc une asymptote verticale à la courbe (C).
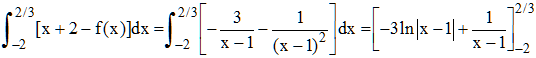
8°/ La courbe (C) rencontre son asymptote d1 lorsque f(x) = x + 2. En utilisant 5° b/, l'équation f(x) = x + 2 est équivalente à 3/(x - 1) + 1/(x - 1)2 = 0, c'est à dire 3(x - 1) + 1 = 0, dont on tire x = 2/3.

L'aire hachurée est comprise entre d1 et la courbe et d1 est au-dessus de (C). Il s'agit donc de calculer l'intégrale de x + 2 - f(x) sur l'intervalle [-2, 2/3].

L'aire cherchée est égale à 3,925 unités d'aires. L'observation du nombre approchée d'unités (carrés de côté 1/2 d'unité) fournit 15/4 d'unités d'aires, soit 3,75. Ce qui semble corroborer le calcul.